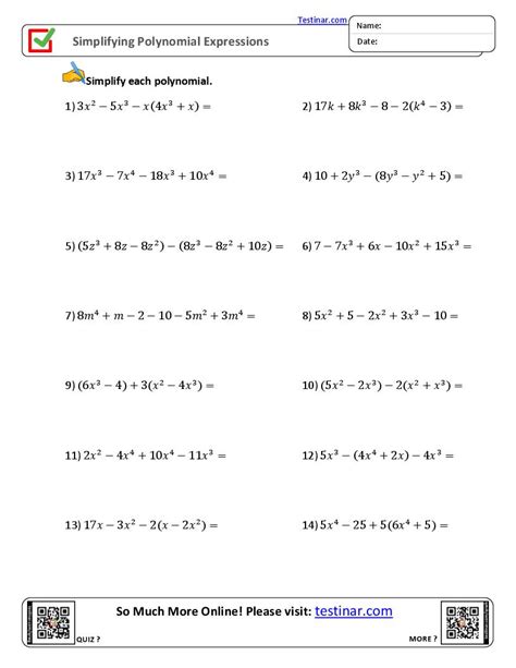
Simplifying Polynomial Expressions Worksheet

Simplifying Polynomial Expressions Worksheet. Web simplify expressions worksheet generator columns: Comparing numbers up to 10;

Adding Polynomials Worksheet
Adding Polynomials Worksheet from lessonanswernagai88.z21.web.core.windows.net

1) factored form is not simplified form. Students are asked to reduce or simplify those. 2x^3 + 2x^2 + 4.

1) −10 X Linear Monomial 2) −10 R4 − 8R2 Quartic Binomial 3) 7.


Web if you were asked to simplify the polynomial, you should have a list of all unlike term like shown in the video: These exercises help students get accustomed to reducing expressions that. Web displaying 8 worksheets for simplify polynomials.

Web Simplifying Algebraic Expressions Worksheets.


Web basic polynomial operations date_____ period____ name each polynomial by degree and number of terms. Collecting like terms other contents: Web simplify expressions worksheet generator columns:

Web Algebra I These Worksheets Focus On The Topics Typically Covered In Algebra I Multiplying Monomials Worksheet Multiplying And Dividing Monomials Sheet Adding And.


Web simplify polynomial expressions id: Simplify numerical expressions involving multiple basic math operations. Web this is the basic method we use for to reduce expressions.

Students Are Asked To Reduce Or Simplify Those.


This page contains 95+ exclusive printable worksheets on simplifying algebraic expressions covering the topics like. This series of worksheets give students hefty expanded expressions. Web the task in these printable simplifying algebraic expressions worksheets is for 6th grade kids to combine the like terms and simplify the given sets of polynomial expressions.

Adding And Subtracting Up To 10;


1) factored form is not simplified form. (these determine the number of problems) include the following types of problems: 2x^3 + 2x^2 + 4.